生物柴油流量計安裝時直管段長度與測量精度的關系
點擊次數:2189 發布時間:2021-01-19 15:27:04
在流量計測量過程中,直管段有時是一個對于測量精度有著非常重要影響的因素,對直管段有要求的儀表主要有電磁流量計、生物柴油流量計、渦街流量計、阿牛巴和孔板等,對直管段的要求大部分都是前5后3。 現在大部分電磁流量計采用非均勻電磁場對流體流速分布的軸對稱性要求較低,因此電磁流量計可以適當減少;而渦街流量計,阿牛巴和孔板對流體流速分布要求比較嚴,若無法滿足直管段要求可能導致無法測量。這里我就渦街流量計闡述,項目施工的時候沒按設計要求進行,結果直管段要求沒達到,水聯動試驗的時候測量就不是誤差了,那簡直就是不準,過水200公斤,*后測量是1100公斤,后來改完直管段之后就沒問題了,相信應該知道直管段的重要性了吧。
對于測量精度和誤差影響我們也沒有實際的經驗數據,如果測量參數用于過程控制,在工藝能夠接受的范圍內的誤差都是可以的,如果是用于計量,如水,天然氣,油等則應達到其標稱精度,另外用于計量的儀表計量局會對其進行驗收,不達標的不會通過。
如果有條件建議直管段留長一些。
一般孔板的為前10D后5D,也有為前24D后7D的時候,*好是前直管段30~50D為好
生物柴油流量計為前15D后5D
渦街流量計為前15-20D后5D
對于質量流量計無特殊要求
轉子、橢圓齒輪流量計也無特殊要求
不過一般直管段*好是有,長度盡可能的長。

生物柴油流量計是一種速度式流量儀表,由于具有結構緊湊、測量精度高、反應速度快、測量范圍廣、價格低廉和安裝方便等優點,而得到廣泛應用。對于貿易結算計量,流量計的精確度是至關重要的。
生物柴油流量計在測量過程中對直管段的一般性要求為:流量計必須水平安裝在管道上(管道傾斜在5以內),安裝時流量計軸線應與管道軸線同心,流向要一致。 流量計上游管道長度應有不小于2D的等徑直管段,如果安裝場所充許建議上游直管段為20D、下游為5D。
影響生物柴油流量計精度的主要外部因素是流體的流動狀態,生物柴油流量計特性曲線要保持良好的線性關系,流過流量計的流體應為充分發展的流型。對流量計的精度和直管段的預測,為不同精度要求的生物柴油流量計選擇適當長度的直管段提供了理論參考。
影響生物柴油流量計精度的主要外部因素是流體的流動狀態,生物柴油流量計特性曲線要保持良好的線性關系,流過流量計的流體應為充分發展的流型。
1.旋轉系數與下游直管段長度之間的關系旋轉流的旋轉強度用旋轉系數來表示,旋轉系數定義為角動量通量與軸向動量通量的比值:

式中: w———周向速度;
u———軸向速度;
R———管道半徑;
A———流體流過的橫截面積;
ρ———密度。
對于圓管內的旋轉流,在r= 0.95R處的旋轉
角度*大,即:

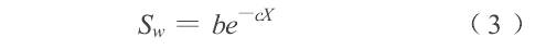
采用多項迭代的方法,可編程計算出在某個X值時(X為圓管直徑D的倍數)滿足一定精度的Sw值:

常數b和c與流體性質、雷諾數和流量有關,需要通過實驗確定。對于不可壓縮流體, b= 0.030~ 0.085, c= 0.10~ 0.50。一般來說,流量越大,旋轉流的衰減越大,由式(3)可以看出,旋轉流發生后的直管段越長,旋轉流的強度越弱,對生物柴油流量計精度的影響越小。
2.實驗設計與結果分析
為了在實驗過程中能得到理想的旋轉流體,實驗中采用了模擬多種強度旋轉流的發生器,旋轉流發生器安裝在流量計上游來流的起始點處。實驗采用稱量法,記錄電子稱上的質量脈沖數
N,N乘以質量脈沖常數(0.08333),即得到質量值(kg),同時記錄時間和渦輪變送器的脈沖數,在每個流量點重復做三次,記錄三組數據,共選擇5個流量點來覆蓋生物柴油流量計的測量量程。流量Q= 0.08333N/t,儀表系數為:

儀表系數K與旋轉數Sw成線性關系,儀表精度為:

其中α、d均為待定系數。根據實驗所得多組脈沖數和流量數據,可計算出儀表精度δ值。按δ- X方程及δ和X數據進行*小二乘法回歸,可確定α和d的數值。一般來說,對不可壓縮流體,α= 1.15~ 2.20, d= 0.016~ 0.11。
3.直管段長度和生物柴油流量計精度的初步預測在工程設計中,根據流體性質、流量和雷諾數確定α和d值。這樣,按照式(5)就可以依不同的流量計精度要求,對直管段長度進行初步預測,或確定直管段長度后,對流量計的精度做初步預測。當δ= 0.2%時,不同流量下所需直管段長度見表1。

當X= 30時,不同流量下儀表精度見表2

對流量計的精度和直管段的預測,為不同精度要求的生物柴油流量計選擇適當長度的直管段提供了理論參考。
4.結語
(1)旋轉數Sw與X成指數關系,即隨著下游距離X的增加,旋轉流強度以指數方式衰減。指數系數c和α值與介質的性質,雷諾數等參數有關。
(2)對于任一旋轉流源,隨著下游距離X的增加,在大流量區旋轉流強度衰減速度快,而在小流量區,旋轉流強度衰減速度要慢一些,因此,對小流量的流量計管道設計中需要加長直管段,以減少旋轉流對流量計精度的影響。
(3)不論旋轉流的方向如何,流量計越靠近旋轉流源,流量計的精度δ越差,流量計精度可以按式(5)進行初步預測。
柴油流量計的生產廠家
柴油流量計的安裝影響其測量的準確度
雷電對于柴油流量計的危害及如何建立有效防護措施的探討
如何對常用柴油流量計進行正確的選型分析
智能柴油流量計
柴油流量計量表
船用柴油流量計
關于鑄鋁柴油流量計使用過程中的快捷檢查和故障排除
測柴油流量用什么流量計
測柴油流量計
柴油流量計量表價格
船用柴油流量計廠家
船舶柴油流量計
2寸柴油流量計
測量柴油流量用什么流量計
油罐車柴油流量計
dn40柴油流量計
柴油流量計量表,柴油流量計價格
生物柴油流量計廠家
管道柴油流量計
智能柴油流量計,柴油流量計量表
加油站柴油流量計,機械式柴油流量計
機械式柴油流量計,dn40柴油流量計
柴油流量計量表,大流量柴油流量計量表
dn65柴油流量計,數顯柴油流量計
柴油流量計量表,柴油流量計廠家
齒輪型柴油流量計,數顯柴油流量計
船用柴油流量計,鑄鋁柴油流量計
船用柴油流量計,重柴油流量計
柴油流量計廠家的工作原理與實驗效果分析
對于測量精度和誤差影響我們也沒有實際的經驗數據,如果測量參數用于過程控制,在工藝能夠接受的范圍內的誤差都是可以的,如果是用于計量,如水,天然氣,油等則應達到其標稱精度,另外用于計量的儀表計量局會對其進行驗收,不達標的不會通過。
如果有條件建議直管段留長一些。
一般孔板的為前10D后5D,也有為前24D后7D的時候,*好是前直管段30~50D為好
生物柴油流量計為前15D后5D
渦街流量計為前15-20D后5D
對于質量流量計無特殊要求
轉子、橢圓齒輪流量計也無特殊要求
不過一般直管段*好是有,長度盡可能的長。

生物柴油流量計是一種速度式流量儀表,由于具有結構緊湊、測量精度高、反應速度快、測量范圍廣、價格低廉和安裝方便等優點,而得到廣泛應用。對于貿易結算計量,流量計的精確度是至關重要的。
生物柴油流量計在測量過程中對直管段的一般性要求為:流量計必須水平安裝在管道上(管道傾斜在5以內),安裝時流量計軸線應與管道軸線同心,流向要一致。 流量計上游管道長度應有不小于2D的等徑直管段,如果安裝場所充許建議上游直管段為20D、下游為5D。
影響生物柴油流量計精度的主要外部因素是流體的流動狀態,生物柴油流量計特性曲線要保持良好的線性關系,流過流量計的流體應為充分發展的流型。對流量計的精度和直管段的預測,為不同精度要求的生物柴油流量計選擇適當長度的直管段提供了理論參考。
影響生物柴油流量計精度的主要外部因素是流體的流動狀態,生物柴油流量計特性曲線要保持良好的線性關系,流過流量計的流體應為充分發展的流型。
1.旋轉系數與下游直管段長度之間的關系旋轉流的旋轉強度用旋轉系數來表示,旋轉系數定義為角動量通量與軸向動量通量的比值:

式中: w———周向速度;
u———軸向速度;
R———管道半徑;
A———流體流過的橫截面積;
ρ———密度。
對于圓管內的旋轉流,在r= 0.95R處的旋轉
角度*大,即:

采用多項迭代的方法,可編程計算出在某個X值時(X為圓管直徑D的倍數)滿足一定精度的Sw值:

常數b和c與流體性質、雷諾數和流量有關,需要通過實驗確定。對于不可壓縮流體, b= 0.030~ 0.085, c= 0.10~ 0.50。一般來說,流量越大,旋轉流的衰減越大,由式(3)可以看出,旋轉流發生后的直管段越長,旋轉流的強度越弱,對生物柴油流量計精度的影響越小。
2.實驗設計與結果分析
為了在實驗過程中能得到理想的旋轉流體,實驗中采用了模擬多種強度旋轉流的發生器,旋轉流發生器安裝在流量計上游來流的起始點處。實驗采用稱量法,記錄電子稱上的質量脈沖數
N,N乘以質量脈沖常數(0.08333),即得到質量值(kg),同時記錄時間和渦輪變送器的脈沖數,在每個流量點重復做三次,記錄三組數據,共選擇5個流量點來覆蓋生物柴油流量計的測量量程。流量Q= 0.08333N/t,儀表系數為:

儀表系數K與旋轉數Sw成線性關系,儀表精度為:

其中α、d均為待定系數。根據實驗所得多組脈沖數和流量數據,可計算出儀表精度δ值。按δ- X方程及δ和X數據進行*小二乘法回歸,可確定α和d的數值。一般來說,對不可壓縮流體,α= 1.15~ 2.20, d= 0.016~ 0.11。
3.直管段長度和生物柴油流量計精度的初步預測在工程設計中,根據流體性質、流量和雷諾數確定α和d值。這樣,按照式(5)就可以依不同的流量計精度要求,對直管段長度進行初步預測,或確定直管段長度后,對流量計的精度做初步預測。當δ= 0.2%時,不同流量下所需直管段長度見表1。

當X= 30時,不同流量下儀表精度見表2

對流量計的精度和直管段的預測,為不同精度要求的生物柴油流量計選擇適當長度的直管段提供了理論參考。
4.結語
(1)旋轉數Sw與X成指數關系,即隨著下游距離X的增加,旋轉流強度以指數方式衰減。指數系數c和α值與介質的性質,雷諾數等參數有關。
(2)對于任一旋轉流源,隨著下游距離X的增加,在大流量區旋轉流強度衰減速度快,而在小流量區,旋轉流強度衰減速度要慢一些,因此,對小流量的流量計管道設計中需要加長直管段,以減少旋轉流對流量計精度的影響。
(3)不論旋轉流的方向如何,流量計越靠近旋轉流源,流量計的精度δ越差,流量計精度可以按式(5)進行初步預測。


